实验模型
核电厂的设计和安全分析是以试验和计算机程序为支撑的。在比例试验装置上开展的试验,能够研究核电厂相关系统的物理行为,还能够将所获得的试验数据用于计算机程序的评价;计算机程序则用于模拟各种事故过程,分析部件或系统的响应,预测事故结果,验证拟定的保护措施,从而满足核安全法规的要求。
本实验的基本原理涵盖能获得反应堆功率变化的中子动力学模型,能获得核电厂系统典型参数(如温度、流量等)变化的热工水力模型以及核电厂的典型控制系统。
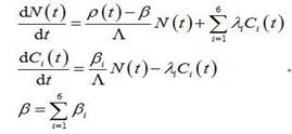
(1) 中子动力学模型
堆芯采用点堆中子动力学模型,描述具有6组缓发中子的堆芯中子动力学行为,用一维传导模型求解棒状燃料元件芯块和包壳的温度。
点堆中子动力学模型:

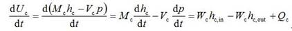
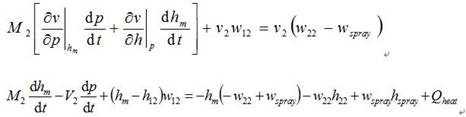
(2) 热工水力模型
稳压器模型将稳压器中工质分为3个区域,分别为波动水区,主水区和蒸汽区,基于质量和能量守恒方程建立模型。U型管蒸汽发生器模型为集总参数动态模型,将蒸汽发生器视为一个圆柱体,根据热力系统动力学原理和基本的质量、能量守恒方程,建立一种简化的两相集总参数动态数学模型,实现对UTSG快速实时仿真。对环路建立动量守恒方程,关联泵的压头模型,计算环路流量。
环路动量守恒方程:

堆芯能量守恒方程:

稳压器质量守恒与能量守恒方程:

环路质量与能量守恒方程:

U型管蒸汽发生器集总参数动态模型:
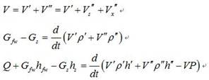
分别列出体积守恒,质量守恒和能量守恒方程

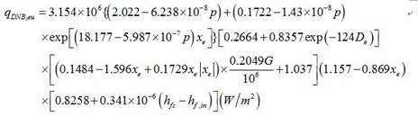
(3) DNBR验收准则
一回路流量不正常事故可以分为堆芯冷却剂流量部分丧失(丧失一台RCP泵)、反应堆冷却剂强迫流量全部丧失和反应堆冷却剂泵转子卡住(卡轴)或反应堆冷却剂泵轴断裂分别属于DBC事故中的第二、三和四类事故,具有典型性。DNBR是重要的验收准则。鉴于棒束CHF关系式为各大核电公司的商业机密,本科生实验也不需要详细的形式,本实验采用的棒束CHF关系式为通用的W3关系式。

(4) 控制系统与安全系统整定值
反应堆的控制系统与安全系统的整定值根据具体的对象具体设计。学生在进行实验时,可以进行具体的设置。以体现不同控制系统、不同安全整定值对事故进程的影响。